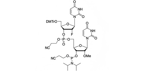
U(f)U(ome) Phosphoramidite

  • Cat. No.50-0500-XX
  • CASN/A
  • Molecular formula

    C52H62FN7O16P2

U(f)U(ome) Phosphoramidite
U(f)U(ome) Phosphoramidite
close
  • 产品详情
  • 相关文档
M.W. 1122.05 M+/M- N/A F.W. 681.42
HPLC ≥97% 31P NMR ≥97% 1H NMR Conform
Loading N/A Appearance Off-white solid Storage -20±10℃,dry
相关产品
常见问题

有的,公司每批产品都附有分析报告

本公司支持各种产品的定制,欢迎咨询。

是的,下单后我们可提供样品

+86 512 67298826
  • 二维码

    陆经理18362736473

  • 二维码

    杨经理19906255203