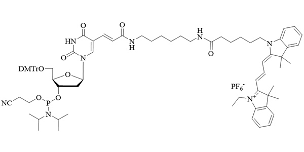
Quasar570-dT Phosphoramidite

  • Cat. No.02-3500-XX
  • CASN/A
  • Molecular formula

    C79H100N8O10P+PF6-

Quasar570-dT Phosphoramidite
Quasar570-dT Phosphoramidite
close
  • 产品详情
  • 相关文档
M.W.1497.65M+/M-1352.69+F.W.912.06
HPLC≥96%31P NMR≥97%1H NMRConform
LoadingN/AAppearanceDark red solidStorage-20±10℃,dry
相关产品
常见问题

有的,公司每批产品都附有分析报告

本公司支持各种产品的定制,欢迎咨询。

是的,下单后我们可提供样品

+86 512 67298826
  • 二维码

    陆经理18362736473

  • 二维码

    杨经理19906255203