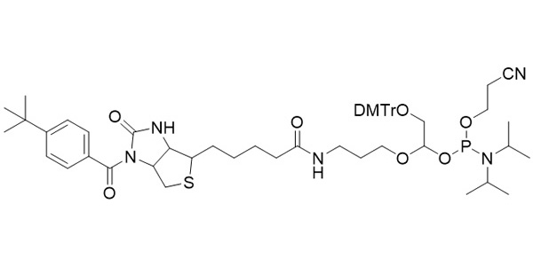
Biotin(N-BB) Phosphoramidite

  • Cat. No.10-0600-XX
  • CASN/A
  • Molecular formula

    C57H76N5O9PS

Biotin(N-BB) Phosphoramidite
Biotin(N-BB) Phosphoramidite
close
  • 产品详情
  • 相关文档
M.W.1038.29M+/M-N/AF.W.437.45
HPLC≥95%31P NMR≥97%1H NMRConform
LoadingN/AAppearanceOff-white solidStorage-20±10℃,dry
相关产品
常见问题

有的,公司每批产品都附有分析报告

本公司支持各种产品的定制,欢迎咨询。

是的,下单后我们可提供样品

+86 512 67298826
  • 二维码

    陆经理18362736473

  • 二维码

    杨经理19906255203