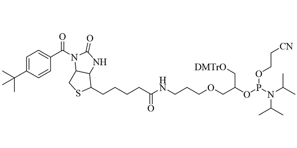
Biotin(N-BB) Phosphoramidite

  • Cat. No.10-0600-XX
  • CASN/A
  • Molecular formula

    C57H76N5O9PS

Biotin(N-BB) Phosphoramidite
Biotin(N-BB) Phosphoramidite
close
  • Product Details
  • Related Documents
M.W.1038.29M+/M-N/AF.W.437.45
HPLC≥95%31P NMR≥97%1H NMRConform
LoadingN/AAppearanceOff-white solidStorage-20±10℃,dry
Related Products
FAQ

Yes, the company comes with an analysis report for each batch of products

The company supports the customization of various products, welcome to consult.

Yes, we can provide samples after placing an order

+86 512 67298826
  • Qrcode

    Manager Lu18362736473

  • Qrcode

    Manager Yang19906255203